This sample application creates objects from classes A, B, C, D, E, F, and G.
Each of the previously mentioned classes extend to Base class, which creates a significantly
large byte array in the constructor.
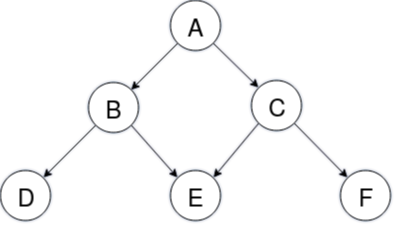
Following is the class diagram.
The application is created to demonstrate the references among objects.
The sample application creates an object from class A in the main thread and another object from
class G in a daemon thread.
The instance created from class A references the instances created from other classes as shown below.
Following is the object diagram showing the object references after the application is started.
Use the following command to run the application. The application creates an object from class A in
the main thread and another object from class G in a daemon thread. After that the application will
wait for a keyboard input.
java -Xmn1g -Xmx2g -XX:+PrintGC -XX:+PrintGCDetails -XX:+PrintGCDateStamps -javaagent:target/memoryref.jar -jar target/memoryref.jarA heap dump can be obtained from following command to look at the object references in heap memory.
jmap -dump:file=target/heap.hprof $(pgrep -f memoryref)Use Eclipse Memory Analyzer Tool (MAT) to analyze the heap dump.
For more information, read following story based on this sample application.
Basic concepts of Java heap dump analysis with Eclipse Memory Analyzer Tool (MAT)
Note: Images were created using draw.io.


