#问题
二叉树查找
#思路说明
二叉树查找是一个面对动态数据比较常用的查找算法。本文根据下面地址文章翻译,并根据本人的理解进行适当修改。
原文地址:http://www.laurentluce.com/posts/binary-search-tree-library-in-python/comment-page-1/
###二叉树查找的定义
定义内容可以参阅Wikipedia:http://en.wikipedia.org/wiki/Binary_tree
这里是中文的:http://zh.wikipedia.org/wiki/%E4%BA%8C%E5%85%83%E6%90%9C%E5%B0%8B%E6%A8%B9
摘要其中对二叉树的描述:
二叉树查找的性质:
- 若任意节点的左子树不空,则左子树上所有结点的值均小于它的根结点的值;
- 任意节点的右子树不空,则右子树上所有结点的值均大于它的根结点的值;
- 任意节点的左、右子树也分别为二叉查找树。
- 没有键值相等的节点(no duplicate nodes)。
二叉查找树相比于其他数据结构的优势在于查找、插入的时间复杂度较低。为O(log n)。二叉查找树是基础性数据结构,用于构建更为抽象的数据结构,如集合、multiset、关联数组等。
虽然二叉查找树的最坏效率是O(n),但它支持动态查询,且有很多改进版的二叉查找树可以使树高为O(logn),如SBT,AVL,红黑树等.
###用python实现二叉树查找
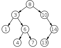
以下面图示的二叉树为例说明查找算法
Node 类
创建一个类,命名为Node,做为二叉树节点结构,其中包括:左枝、右枝、节点数据三个变量。
class Node:
"""
二叉树左右枝
"""
def __init__(self, data):
"""
节点结构
"""
self.left = None
self.right = None
self.data = data
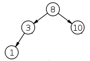
例如创建一个含整数8的节点。因为仅仅创建一个节点,所以左右枝都是None。
root = Node(8)
这样就得到如下图所示的只有一个节点的树。
插入方法
现在已经有了一棵光秃秃的树,要有枝杈和叶子,就必须用插入数据方法,添加新的节点和数据。
def insert(self, data):
"""
插入节点数据
"""
if data < self.data:
if self.left is None:
self.left = Node(data)
else:
self.left.insert(data)
elif data > self.data:
if self.right is None:
self.right = Node(data)
else:
self.right.insert(data)
承接前面的操作,可以用下面的方式增加树的枝杈和叶子(左右枝以及节点数据)。
root.insert(3)
root.insert(10)
root.insert(1)
当增加了第二个节点数据3,程序会:
- 第一步,root会调用insert(),其参数是data=3
- 第二步,比较3和8(已有的根节点),3比8小。并且树的左枝还是None,于是就在左边建立一个新的节点。
增加第三个节点数据10,程序会:
- 第一步,跟前面的第一步一样,只不过data=10
- 第二步,发现10大于8,同时右边是None,于是就把它做为右边新建分支的节点数据。
增加第四个节点数据1,程序会:
- 第一步,同前,data=1
- 第二步,1小于8,所以要放在树的左枝;
- 第三步,左枝已经有子节点3,该节点再次调用insert()方法,1小于3,所以1就做为3的子节点,且放在原本就是None的左侧。
如此,就形成了下图的树
继续增加节点数据
root.insert(6)
root.insert(4)
root.insert(7)
root.insert(14)
root.insert(13)
最终形成下图的树
遍历树
此方法用于查找树中的某个节点,如果找到了,就返回该节点,否则返回None。为了方便,也返回父节点。
def lookup(self, data, parent=None):
"""
遍历二叉树
"""
if data < self.data:
if self.left is None:
return None, None
return self.left.lookup(data, self)
elif data > self.data:
if self.right is None:
return None, None
return self.right.lookup(data, self)
else:
return self, parent
测试一下,找一找数据为6的节点
node, parent = root.lookup(6)
调用lookup()后,程序会这么干:
- 调用lookup(),传递参数data=6,默认parent=None
- data=6,小于根节点的值8
- 指针转到根节点左侧,此时:data=6,parent=8,再次调用lookup()
- data=6大于左侧第一层节点数据3
- 指针转到3的右侧分支,data=6,parent=3,再次调用lookup()
- 节点数据等于6,于是返回这个节点和它的父节点3
删除方法
删除节点数据。代码如下:
def delete(self, data):
"""
删除节点
"""
node, parent = self.lookup(data) #已有节点
if node is not None:
children_count = node.children_count() #判断子节点数
if children_count == 0:
# 如果该节点下没有子节点,即可删除
if parent.left is node:
parent.left = None
else:
parent.right = None
del node
elif children_count == 1:
# 如果有一个子节点,则让子节点上移替换该节点(该节点消失)
if node.left:
n = node.left
else:
n = node.right
if parent:
if parent.left is node:
parent.left = n
else:
parent.right = n
del node
else:
# 如果有两个子节点,则要判断节点下所有叶子
parent = node
successor = node.right
while successor.left:
parent = successor
successor = successor.left
node.data = successor.data
if parent.left == successor:
parent.left = successor.right
else:
parent.right = successor.right
在上述方法中,得到当前节点下的子节点数目后,需要进行三种情况的判断
- 如果没有子节点,直接删除
- 如果有一个子节点,要将下一个子节点上移到当前节点,即替换之
- 如果有两个子节点,要对自己点的数据进行判断,并从新安排节点排序
上述方法中用到了统计子节点数目的方法,代码如下:
def children_count(self):
"""
子节点个数
"""
cnt = 0
if self.left:
cnt += 1
if self.right:
cnt += 1
return cnt
例1:删除数据为1的节点,它是3的子节点,1后面没有子节点
root.delete(1)
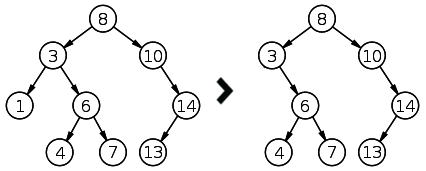
例2:删除数据为14的节点,它是10的子节点,它下面有唯一一个子节点13,13替换之。
root.delete(14)
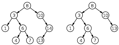
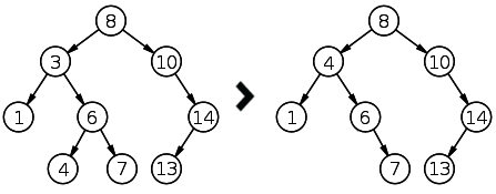
例3:来个复杂的,删除节点数据为3的节点,它下面有两个节点,而节点6下面又有两个4,7。需要一个临时变量successor,将节点3下面的子节点进行查询,并把小于3下面的第一级子节点6左测节点数据4(该数据一定小于其父节点6)替换当前节点3,维持二叉树结构。如下图:
root.delete(3)
比较两个二叉树
比较两个二叉树的方法中,只要有一个节点(叶子)与另外一个树的不同,就返回False,也包括缺少对应叶子的情况。
def compare_trees(self, node):
"""
比较两棵树
"""
if node is None:
return False
if self.data != node.data:
return False
res = True
if self.left is None:
if node.left:
return False
else:
res = self.left.compare_trees(node.left)
if res is False:
return False
if self.right is None:
if node.right:
return False
else:
res = self.right.compare_trees(node.right)
return res
例如,比较tree(3,8,10)和tree(3,8,11)
#root2 是tree(3,8,11)的根
#root 是tree(3,8,10)的根
root.compare_trees(root2)
执行上面的代码,程序会这么走:
- root调用compare_trees()方法
- root有左侧子节点,调用该节点的compare_trees()
- 两个左侧子节点比较,返回true
- 按照前面的过程,比较右侧节点,发现不同,则返回False
打印树
把二叉树按照一定的顺序打印出来。不需要参数了。做法就是先左后右(左小于右)。
def print_tree(self):
"""
按顺序打印数的内容
"""
if self.left:
self.left.print_tree()
print self.data,
if self.right:
self.right.print_tree()
操作一下:
root.print_tree()
输出: 1, 3, 4, 6, 7, 8, 10, 13, 14
包含所有树元素的生成器
创建一个包含所有树元素的生成器,有时候是有必要的。考虑到内存问题,没有必要实时生成所有节点数据列表,而是要每次调用此方法时,它返回的下一个节点的值。为此,使用它返回一个对象,并停止在那里,那么该函数将在下一次调用方法时从那里继续通过yield关键字返回值。在这种情况下,要使用堆栈,不能使用递归。
def tree_data(self):
"""
二叉树数据结构
"""
stack = []
node = self
while stack or node:
if node:
stack.append(node)
node = node.left
else:
node = stack.pop()
yield node.data
node = node.right
举例,通过循环得到树:
for data in root.tree_data():
print data
程序会按照先左后右边的原子将数据入栈、出栈,顺序取出值,并返回结果






