RespChamberProc package supports deriving gas fluxes from a time series of gas concentrations in a chamber.
install.packages( # dependencies from CRAN
c("rlang", "changepoint", "nlme", "segmented", "tibble", "dplyr", "purrr"))
# install.packages("devtools")
devtools::install_github("bgctw/RespChamberProc")See the package vignettes for an introduction.
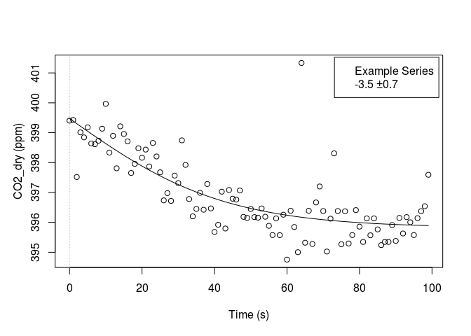
A simple example estimates photosynthesis (negative CO2 flux into the light chamber) in units micromol/second from CO2 concentration data in ppm.
library(RespChamberProc)
#?RespChamberProc
ds <- chamberLoggerEx1s # example data with the package
ds$Pa <- chamberLoggerEx1s$Pa * 1000 # convert kPa to Pa
ds$CO2_dry <- corrConcDilution(ds) # correct for water vapour
resFit <- calcClosedChamberFlux(
ds
, colConc = "CO2_dry", colTime = "TIMESTAMP"
, colTemp = "TA_Avg", colPressure = "Pa" # Temperature in K, Pressure in Pa
, volume = 1, area = 1 # chamber dimensions m3 and m2
)
dplyr::select(resFit ,c("flux","sdFlux"))
#> # A tibble: 1 x 2
#> flux sdFlux
#> <dbl> <dbl>
#> 1 -3.534767 0.7084692
plotResp(ds, resFit, label = "Example Series")