This is the official implementation of our CVPR 2024 paper "SURE: SUrvey REcipes for building reliable and robust deep networks". Our recipes are powerful tools in addressing real-world challenges, such as long-tailed classification, learning with noisy labels, data corruption and out-of-distribution detection.
- 2024.09.26 : 🏆 🏆 🏆 Our work won the First place in ECCV 2024 OOD-CV Challenge! More details about our solution can be found in the SSB-OSR repository.
- 2024.02.27 : 🚀 🚀 🚀 Our paper has been accepted by CVPR 2024!
- 1. Overview of recipes
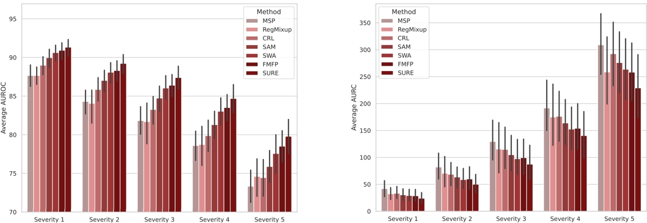
- 2. Visual Results
- 3. Installation
- 4. Quick Start
- 5. Citation
- 6. Acknowledgement
Our model can be learnt in a single GPU RTX-4090 24G
conda env create -f environment.yml
conda activate uThe code was tested on Python 3.9 and PyTorch 1.13.0.
- Using CIFAR10, CIFAR100 and Tiny-ImageNet for failure prediction (also known as misclassification detection).
- We keep 10% of training samples as a validation dataset for failure prediction.
- Download datasets to ./data/ and split into train/val/test. Take CIFAR10 for an example:
cd data
bash download_cifar.sh
The structure of the file should be:
./data/CIFAR10/
├── train
├── val
└── test
- We have already split Tiny-imagenet, you can download it from here.
- Using ImageNet1k and ImageNet21k for detecting out-of-distribution samples.
- For ImageNet, the ImageNet-1K classes (ILSVRC12 challenge) are used as Known, and specific classes from ImageNet-21K-P are selected as Unknown. More details about dataset preparation, see here.
- Using Animal-10N and Food-101N for learning with noisy label.
- To download Animal-10N dataset [Song et al., 2019], please refer to here. The structure of the file should be:
./data/Animal10N/
├── train
└── test
- To download Food-101N dataset [Lee et al., 2018], please refer to here. The structure of the file should be:
./data/Food-101N/
├── train
└── test
- Using CIFAR-LT with imbalance factor(10, 50, 100) for long-tailed classification.
- Rename the original CIFAR10 and CIFAR100 (do not split into validation set) to 'CIFAR10_LT' and 'CIFAR100_LT' respectively.
- The structure of the file should be:
./data/CIFAR10_LT/
├── train
└── test
- Using CIFAR10-C to test robustness under data corrputions.
- To download CIFAR10-C dataset [Hendrycks et al., 2019], please refer to here. The structure of the file should be:
./data/CIFAR-10-C/
├── brightness.npy
├── contrast.npy
├── defocus_blur.npy
...
- We additionally run experiments on Stanford CARS, which contains 16,185 images of 196 classes of cars. The data is split into 8,144 training images and 8,041 testing images
- To download the dataset, please refer to here. The structure of the file should be:
./data/CARS/
├── train
└── test
...
- Our model checkpoints are saved here.
- All results are saved in test_results.csv.
- We provide convenient and comprehensive commands in ./run/ to train and test different backbones across different datasets to help researchers reproducing the results of the paper.
Take a example in run/CIFAR10/wideresnet.sh:
MSP
python3 main.py \
--batch-size 128 \
--gpu 0 \
--epochs 200 \
--nb-run 3 \
--model-name wrn \
--optim-name baseline \
--crl-weight 0 \
--mixup-weight 0 \
--mixup-beta 10 \
--save-dir ./CIFAR10_out/wrn_out \
Cifar10
python3 test.py \
--batch-size 128 \
--gpu 0 \
--nb-run 3 \
--model-name wrn \
--optim-name baseline \
--crl-weight 0 \
--mixup-weight 0 \
--save-dir ./CIFAR10_out/wrn_out \
Cifar10
RegMixup
python3 main.py \
--batch-size 128 \
--gpu 0 \
--epochs 200 \
--nb-run 3 \
--model-name wrn \
--optim-name baseline \
--crl-weight 0 \
--mixup-weight 0.5 \
--mixup-beta 10 \
--save-dir ./CIFAR10_out/wrn_out \
Cifar10
python3 test.py \
--batch-size 128 \
--gpu 0 \
--nb-run 3 \
--model-name wrn \
--optim-name baseline \
--crl-weight 0 \
--mixup-weight 0.5 \
--save-dir ./CIFAR10_out/wrn_out \
Cifar10
CRL
python3 main.py \
--batch-size 128 \
--gpu 0 \
--epochs 200 \
--nb-run 3 \
--model-name wrn \
--optim-name baseline \
--crl-weight 0.5 \
--mixup-weight 0 \
--mixup-beta 10 \
--save-dir ./CIFAR10_out/wrn_out \
Cifar10
python3 test.py \
--batch-size 128 \
--gpu 0 \
--nb-run 3 \
--model-name wrn \
--optim-name baseline \
--crl-weight 0.5 \
--mixup-weight 0 \
--save-dir ./CIFAR10_out/wrn_out \
Cifar10
SAM
python3 main.py \
--batch-size 128 \
--gpu 0 \
--epochs 200 \
--nb-run 3 \
--model-name wrn \
--optim-name sam \
--crl-weight 0 \
--mixup-weight 0 \
--mixup-beta 10 \
--save-dir ./CIFAR10_out/wrn_out \
Cifar10
python3 test.py \
--batch-size 128 \
--gpu 0 \
--nb-run 3 \
--model-name wrn \
--optim-name sam \
--crl-weight 0 \
--mixup-weight 0 \
--save-dir ./CIFAR10_out/wrn_out \
Cifar10
SWA
python3 main.py \
--batch-size 128 \
--gpu 0 \
--epochs 200 \
--nb-run 3 \
--model-name wrn \
--optim-name swa \
--crl-weight 0 \
--mixup-weight 0 \
--mixup-beta 10 \
--save-dir ./CIFAR10_out/wrn_out \
Cifar10
python3 test.py \
--batch-size 128 \
--gpu 0 \
--nb-run 3 \
--model-name wrn \
--optim-name swa \
--crl-weight 0 \
--mixup-weight 0 \
--save-dir ./CIFAR10_out/wrn_out \
Cifar10
FMFP
python3 main.py \
--batch-size 128 \
--gpu 0 \
--epochs 200 \
--nb-run 3 \
--model-name wrn \
--optim-name fmfp \
--crl-weight 0 \
--mixup-weight 0 \
--mixup-beta 10 \
--save-dir ./CIFAR10_out/wrn_out \
Cifar10
python3 test.py \
--batch-size 128 \
--gpu 0 \
--nb-run 3 \
--model-name wrn \
--optim-name fmfp \
--crl-weight 0 \
--mixup-weight 0 \
--save-dir ./CIFAR10_out/wrn_out \
Cifar10
SURE
python3 main.py \
--batch-size 128 \
--gpu 0 \
--epochs 200 \
--nb-run 3 \
--model-name wrn \
--optim-name fmfp \
--crl-weight 0.5 \
--mixup-weight 0.5 \
--mixup-beta 10 \
--use-cosine \
--save-dir ./CIFAR10_out/wrn_out \
Cifar10
python3 test.py \
--batch-size 128 \
--gpu 0 \
--nb-run 3 \
--model-name wrn \
--optim-name fmfp \
--crl-weight 0.5 \
--mixup-weight 0.5 \
--use-cosine \
--save-dir ./CIFAR10_out/wrn_out \
Cifar10
Note that :
-
Official DeiT-B can be downloaded from here
-
Official DeiT-B-Distilled can be downloaded from here
-
Then one should set
--deit-pathargument.
Take a example in run/CIFAR10/deit.sh:
MSP
python3 main.py \
--batch-size 64 \
--gpu 5 \
--epochs 50 \
--lr 0.01 \
--weight-decay 5e-5 \
--nb-run 3 \
--model-name deit \
--optim-name baseline \
--crl-weight 0 \
--mixup-weight 0 \
--mixup-beta 10 \
--save-dir ./CIFAR10_out/deit_out \
Cifar10
python3 test.py \
--batch-size 64 \
--gpu 5 \
--nb-run 3 \
--model-name deit \
--optim-name baseline \
--crl-weight 0 \
--mixup-weight 0 \
--save-dir ./CIFAR10_out/deit_out \
Cifar10
RegMixup
python3 main.py \
--batch-size 64 \
--gpu 5 \
--epochs 50 \
--lr 0.01 \
--weight-decay 5e-5 \
--nb-run 3 \
--model-name deit \
--optim-name baseline \
--crl-weight 0 \
--mixup-weight 0.2 \
--mixup-beta 10 \
--save-dir ./CIFAR10_out/deit_out \
Cifar10
python3 test.py \
--batch-size 64 \
--gpu 5 \
--nb-run 3 \
--model-name deit \
--optim-name baseline \
--crl-weight 0 \
--mixup-weight 0.2 \
--save-dir ./CIFAR10_out/deit_out \
Cifar10
CRL
python3 main.py \
--batch-size 64 \
--gpu 5 \
--epochs 50 \
--lr 0.01 \
--weight-decay 5e-5 \
--nb-run 3 \
--model-name deit \
--optim-name baseline \
--crl-weight 0.2 \
--mixup-weight 0 \
--mixup-beta 10 \
--save-dir ./CIFAR10_out/deit_out \
Cifar10
python3 test.py \
--batch-size 64 \
--gpu 5 \
--nb-run 3 \
--model-name deit \
--optim-name baseline \
--crl-weight 0.2 \
--mixup-weight 0 \
--save-dir ./CIFAR10_out/deit_out \
Cifar10
SAM
python3 main.py \
--batch-size 64 \
--gpu 5 \
--epochs 50 \
--lr 0.01 \
--weight-decay 5e-5 \
--nb-run 3 \
--model-name deit \
--optim-name sam \
--crl-weight 0 \
--mixup-weight 0 \
--mixup-beta 10 \
--save-dir ./CIFAR10_out/deit_out \
Cifar10
python3 test.py \
--batch-size 64 \
--gpu 5 \
--nb-run 3 \
--model-name deit \
--optim-name sam \
--crl-weight 0 \
--mixup-weight 0 \
--save-dir ./CIFAR10_out/deit_out \
Cifar10
SWA
python3 main.py \
--batch-size 64 \
--gpu 5 \
--epochs 50 \
--lr 0.01 \
--weight-decay 5e-5 \
--swa-epoch-start 0 \
--swa-lr 0.004 \
--nb-run 3 \
--model-name deit \
--optim-name swa \
--crl-weight 0 \
--mixup-weight 0 \
--mixup-beta 10 \
--save-dir ./CIFAR10_out/deit_out \
Cifar10
python3 test.py \
--batch-size 64 \
--gpu 5 \
--nb-run 3 \
--model-name deit \
--optim-name swa \
--crl-weight 0 \
--mixup-weight 0 \
--save-dir ./CIFAR10_out/deit_out \
Cifar10
FMFP
python3 main.py \
--batch-size 64 \
--gpu 5 \
--epochs 50 \
--lr 0.01 \
--weight-decay 5e-5 \
--swa-epoch-start 0 \
--swa-lr 0.004 \
--nb-run 3 \
--model-name deit \
--optim-name fmfp \
--crl-weight 0 \
--mixup-weight 0 \
--mixup-beta 10 \
--save-dir ./CIFAR10_out/deit_out \
Cifar10
python3 test.py \
--batch-size 64 \
--gpu 5 \
--nb-run 3 \
--model-name deit \
--optim-name fmfp \
--crl-weight 0 \
--mixup-weight 0 \
--save-dir ./CIFAR10_out/deit_out \
Cifar10
SURE
python3 main.py \
--batch-size 64 \
--gpu 5 \
--epochs 50 \
--lr 0.01 \
--weight-decay 5e-5 \
--swa-epoch-start 0 \
--swa-lr 0.004 \
--nb-run 3 \
--model-name deit \
--optim-name fmfp \
--crl-weight 0 \
--mixup-weight 0.2 \
--mixup-beta 10 \
--save-dir ./CIFAR10_out/deit_out \
Cifar10
python3 test.py \
--batch-size 64 \
--gpu 5 \
--nb-run 3 \
--model-name deit \
--optim-name fmfp \
--crl-weight 0 \
--mixup-weight 0.2 \
--save-dir ./CIFAR10_out/deit_out \
Cifar10
- We provide convenient and comprehensive commands in ./run/CIFAR10_LT and ./run/CIFAR100_LT to train and test our method under long-tailed distribution.
Take a example in run/CIFAR10_LT/resnet32.sh:
Imbalance factor=10
python3 main.py \
--batch-size 128 \
--gpu 0 \
--epochs 200 \
--nb-run 3 \
--model-name resnet32 \
--optim-name fmfp \
--crl-weight 0 \
--mixup-weight 1 \
--mixup-beta 10 \
--use-cosine \
--save-dir ./CIFAR10_LT/res32_out \
Cifar10_LT
python3 test.py \
--batch-size 128 \
--gpu 0 \
--nb-run 3 \
--model-name resnet32 \
--optim-name fmfp \
--crl-weight 0 \
--mixup-weight 1 \
--use-cosine \
--save-dir ./CIFAR10_LT/res32_out \
Cifar10_LT
Imbalance factor = 50
python3 main.py \
--batch-size 128 \
--gpu 0 \
--epochs 200 \
--nb-run 3 \
--model-name resnet32 \
--optim-name fmfp \
--crl-weight 0 \
--mixup-weight 1 \
--mixup-beta 10 \
--use-cosine \
--save-dir ./CIFAR10_LT_50/res32_out \
Cifar10_LT_50
python3 test.py \
--batch-size 128 \
--gpu 0 \
--nb-run 3 \
--model-name resnet32 \
--optim-name fmfp \
--crl-weight 0 \
--mixup-weight 1 \
--use-cosine \
--save-dir ./CIFAR10_LT_50/res32_out \
Cifar10_LT_50
Imbalance factor = 100
python3 main.py \
--batch-size 128 \
--gpu 0 \
--epochs 200 \
--nb-run 3 \
--model-name resnet32 \
--optim-name fmfp \
--crl-weight 0 \
--mixup-weight 1 \
--mixup-beta 10 \
--use-cosine \
--save-dir ./CIFAR10_LT_100/res32_out \
Cifar10_LT_100
python3 test.py \
--batch-size 128 \
--gpu 0 \
--nb-run 3 \
--model-name resnet32 \
--optim-name fmfp \
--crl-weight 0 \
--mixup-weight 1 \
--use-cosine \
--save-dir ./CIFAR10_LT_100/res32_out \
Cifar10_LT_100
You can conduct second stage uncertainty-aware re-weighting by :
python3 finetune.py \
--batch-size 128 \
--gpu 5 \
--nb-run 1 \
--model-name resnet32 \
--optim-name fmfp \
--fine-tune-lr 0.005 \
--reweighting-type exp \
--t 1 \
--crl-weight 0 \
--mixup-weight 1 \
--mixup-beta 10 \
--fine-tune-epochs 50 \
--use-cosine \
--save-dir ./CIFAR100LT_100_out/51.60 \
Cifar100_LT_100
- We provide convenient and comprehensive commands in ./run/animal10N and ./run/Food101N to train and test our method with noisy labels.
Animal-10N
python3 main.py \
--batch-size 128 \
--gpu 0 \
--epochs 200 \
--nb-run 1 \
--model-name vgg19bn \
--optim-name fmfp \
--crl-weight 0.2 \
--mixup-weight 1 \
--mixup-beta 10 \
--use-cosine \
--save-dir ./Animal10N_out/vgg19bn_out \
Animal10N
python3 test.py \
--batch-size 128 \
--gpu 0 \
--nb-run 1 \
--model-name vgg19bn \
--optim-name baseline \
--crl-weight 0.2 \
--mixup-weight 1 \
--use-cosine \
--save-dir ./Animal10N_out/vgg19bn_out \
Animal10N
Food-101N
python3 main.py \
--batch-size 64 \
--gpu 0 \
--epochs 30 \
--nb-run 1 \
--model-name resnet50 \
--optim-name fmfp \
--crl-weight 0.2 \
--mixup-weight 1 \
--mixup-beta 10 \
--lr 0.01 \
--swa-lr 0.005 \
--swa-epoch-start 22 \
--use-cosine True \
--save-dir ./Food101N_out/resnet50_out \
Food101N
python3 test.py \
--batch-size 64 \
--gpu 0 \
--nb-run 1 \
--model-name resnet50 \
--optim-name fmfp \
--crl-weight 0.2 \
--mixup-weight 1 \
--use-cosine True \
--save-dir ./Food101N_out/resnet50_out \
Food101N
- You can test on CIFAR10-C by the following code in test.py:
if args.data_name == 'cifar10':
cor_results_storage = test_cifar10c_corruptions(net, args.corruption_dir, transform_test,
args.batch_size, metrics, logger)
cor_results = {corruption: {
severity: {
metric: cor_results_storage[corruption][severity][metric][0] for metric in metrics} for severity
in range(1, 6)} for corruption in data.CIFAR10C.CIFAR10C.cifarc_subsets}
cor_results_all_models[f"model_{r + 1}"] = cor_results
- The results are saved in cifar10c_results.csv.
- Testing on CIFAR10-C takes a while. If you don't need the results, just comment out this code.
- You can test on ImageNet by SSB-OSR.
If our project is helpful for your research, please consider citing :
@InProceedings{Li_2024_CVPR,
author = {Li, Yuting and Chen, Yingyi and Yu, Xuanlong and Chen, Dexiong and Shen, Xi},
title = {SURE: SUrvey REcipes for building reliable and robust deep networks},
booktitle = {Proceedings of the IEEE/CVF Conference on Computer Vision and Pattern Recognition (CVPR)},
month = {June},
year = {2024},
pages = {17500-17510}
}
@article{Li2024sureood,
author = {Li, Yang and Sha, Youyang and Wu, Shengliang and Li, Yuting and Yu, Xuanlong and Huang, Shihua and Cun, Xiaodong and Chen,Yingyi and Chen, Dexiong and Shen, Xi},
title = {SURE-OOD: Detecting OOD samples with SURE},
month = {September}
year = {2024},
}
We refer to codes from FMFP and OpenMix. Thanks for their awesome works.








