Skip to content

yuemingl/SymJava

Folders and files

NameName
Last commit message
Last commit date

Latest commit

 

History

520 Commits
 
 
 
 
 
 
 
 
 
 
 
 
 
 
 
 
 
 
 
 
 
 
 
 
 
 
 
 
 
 
 
 
 
 
 
 
 
 
 
 
 
 
 
 
 
 
 
 
 
 
 
 

Repository files navigation

SymJava

SymJava is a Java library for symbolic-numeric computation.

There are two unique features which make SymJava different:

  1. Operator Overloading is implemented by using Java-OO (https://github.com/amelentev/java-oo)

  2. Java bytecode is generated at runtime for symbolic expressions which make the numerical evaluation really fast.

Install java-oo Eclipse plugin for Java Operator Overloading support (https://github.com/amelentev/java-oo): Click in menu: Help -> Install New Software. Enter in "Work with" field: http://amelentev.github.io/eclipse.jdt-oo-site/

If you are using Eclipse-Kepler you need to install SR2 4.3.2 here https://www.eclipse.org/downloads/packages/release/kepler/sr2)

If you are using Eclipse 4.4+, you need Scalar IDE plugin. see https://github.com/amelentev/java-oo

Both Java 7 and 8 are supported.

Citing Our Papers

If you were using Futureye_JIT for academic research, you are encouraged to cite the following papers:

Y. Liu, P. Zhang, M. Qiu, "Fast Numerical Evaluation for Symbolic Expressions in Java", 17th IEEE International Conference on High Performance and Communications (HPCC 2015), New York, USA, August 24-26, 2015.

Y. Liu, P. Zhang, M. Qiu, "SNC: A Cloud Service Platform for Symbolic-Numeric Computation using Just-In-Time Compilation", IEEE Transactions on Cloud Computing, 2017

Examples

package symjava.examples;

import static symjava.symbolic.Symbol.*;
import symjava.bytecode.BytecodeFunc;
import symjava.symbolic.*;

/**
 * This example uses Java Operator Overloading for symbolic computation. 
 * See https://github.com/amelentev/java-oo for Java Operator Overloading.
 * 
 */
public class Example1 {

	public static void main(String[] args) {
		Expr expr = x + y * z;
		System.out.println(expr); //x + y*z
		
		Expr expr2 = expr.subs(x, y*y);
		System.out.println(expr2); //y^2 + y*z
		System.out.println(expr2.diff(y)); //2*y + z
		
		Func f = new Func("f1", expr2.diff(y));
		System.out.println(f); //2*y + z
		
		BytecodeFunc func = f.toBytecodeFunc();
		System.out.println(func.apply(1,2)); //4.0
	}
}
package symjava.examples;

import symjava.relational.Eq;
import symjava.symbolic.Symbol;
import static symjava.symbolic.Symbol.*;


public class Example2 {

	/**
	 * Example from Wikipedia
	 * (http://en.wikipedia.org/wiki/Gauss-Newton_algorithm)
	 * 
	 * Use Gauss-Newton algorithm to fit a given model y=a*x/(b-x)
	 *
	 */
	public static void example1() {
		//Model y=a*x/(b-x), Unknown parameters: a, b
		Symbol[] freeVars = {x};
		Symbol[] params = {a, b};
		Eq eq = new Eq(y, a*x/(b+x), freeVars, params); 
		
		//Data for (x,y)
		double[][] data = {
			{0.038,0.050},
			{0.194,0.127},
			{0.425,0.094},
			{0.626,0.2122},
			{1.253,0.2729},
			{2.500,0.2665},
			{3.740,0.3317}
		};
		
		double[] initialGuess = {0.9, 0.2};
		
		//Here we go ...
		GaussNewton.solve(eq, initialGuess, data, 100, 1e-4);

	}
	
	/**
	 * Example from Apache Commons Math 
	 * (http://commons.apache.org/proper/commons-math/userguide/optimization.html)
	 * 
	 * "We are looking to find the best parameters [a, b, c] for the quadratic function 
	 * 
	 * f(x) = a x2 + b x + c. 
	 * 
	 * The data set below was generated using [a = 8, b = 10, c = 16]. A random number 
	 * between zero and one was added to each y value calculated. "
	 * 
	 */	
	public static void example2() {
		Symbol[] freeVars = {x};
		Symbol[] params = {a, b, c};
		Eq eq = new Eq(y, a*x*x + b*x + c, freeVars, params);
		
		double[][] data = {
				{1 , 34.234064369},
				{2 , 68.2681162306108},
				{3 , 118.615899084602},
				{4 , 184.138197238557},
				{5 , 266.599877916276},
				{6 , 364.147735251579},
				{7 , 478.019226091914},
				{8 , 608.140949270688},
				{9 , 754.598868667148},
				{10, 916.128818085883},		
		};
		
		double[] initialGuess = {1, 1, 1};
		
		GaussNewton.solve(eq, initialGuess, data, 100, 1e-4);
	}
	
	public static void main(String[] args) {
		example1();
		example2();
	}
}

Output in Latex:

Jacobian Matrix =

Residuals =

Iterativly sovle ... 
a=0.33266 b=0.26017 
a=0.34281 b=0.42608 
a=0.35778 b=0.52951 
a=0.36141 b=0.55366 
a=0.36180 b=0.55607 
a=0.36183 b=0.55625 

Jacobian Matrix =

Residuals =

Iterativly sovle ... 
a=7.99883 b=10.00184 c=16.32401 
package symjava.examples;

import Jama.Matrix;
import symjava.matrix.*;
import symjava.relational.Eq;
import symjava.symbolic.Expr;

/**
 * A general Gauss Newton solver using SymJava for simbolic computations
 * instead of writing your own Jacobian matrix and Residuals
 */
public class GaussNewton {

	public static void solve(Eq eq, double[] init, double[][] data, int maxIter, double eps) {
		int n = data.length;
		
		//Construct Jacobian Matrix and Residuals
		SymVector res = new SymVector(n);
		SymMatrix J = new SymMatrix(n, eq.getParams().length);
		
		Expr[] params = eq.getParams();
		for(int i=0; i<n; i++) {
			Eq subEq = eq.subsUnknowns(data[i]);
			res[i] = subEq.lhs - subEq.rhs; //res[i] =y[i] - a*x[i]/(b + x[i]); 
			for(int j=0; j<eq.getParams().length; j++) {
				Expr df = res[i].diff(params[j]);
				J[i][j] = df;
			}
		}
		
		System.out.println("Jacobian Matrix = ");
		System.out.println(J);
		System.out.println("Residuals = ");
		System.out.println(res);
		
		//Convert symbolic staff to Bytecode staff to speedup evaluation
		NumVector Nres = new NumVector(res, eq.getParams());
		NumMatrix NJ = new NumMatrix(J, eq.getParams());
		
		System.out.println("Iterativly sovle ... ");
		for(int i=0; i<maxIter; i++) {
			//Use JAMA to solve the system
			Matrix A = new Matrix(NJ.eval(init));
			Matrix b = new Matrix(Nres.eval(init), Nres.dim());
			Matrix x = A.solve(b); //Lease Square solution
			if(x.norm2() < eps) 
				break;
			//Update initial guess
			for(int j=0; j<init.length; j++) {
				init[j] = init[j] - x.get(j, 0);
				System.out.print(String.format("%s=%.5f",eq.getParams()[j], init[j])+" ");
			}
			System.out.println();
		}		
	}
}
package symjava.examples;

import static symjava.symbolic.Symbol.*;
import symjava.relational.Eq;
import symjava.symbolic.*;

public class Example3 {
	
	/**
	 * Square root of a number
	 * (http://en.wikipedia.org/wiki/Newton's_method)
	 */
	public static void example1() {
		Expr[] freeVars = {x};
		double num = 612;
		Eq[] eq = new Eq[] {
				new Eq(x*x-num, C0, freeVars, null)
		};
		
		double[] guess = new double[]{ 10 };
		
		Newton.solve(eq, guess, 100, 1e-3);
	}
	
	/**
	 * Example from Wikipedia
	 * (http://en.wikipedia.org/wiki/Gauss-Newton_algorithm)
	 * 
	 * Use Lagrange Multipliers and Newton method to fit a given model y=a*x/(b-x)
	 *
	 */
	public static void example2() {
		//Model y=a*x/(b-x), Unknown parameters: a, b
		Symbol[] freeVars = {x};
		Symbol[] params = {a, b};
		Eq eq = new Eq(y - a*x/(b+x), C0, freeVars, params); 
		
		//Data for (x,y)
		double[][] data = {
			{0.038,0.050},
			{0.194,0.127},
			{0.425,0.094},
			{0.626,0.2122},
			{1.253,0.2729},
			{2.500,0.2665},
			{3.740,0.3317}
		};
		
		double[] initialGuess = {0.9, 0.2};
		
		LagrangeMultipliers lm = new LagrangeMultipliers(eq, initialGuess, data);
		//Just for purpose of displaying summation expression
		Eq L = lm.getEqForDisplay(); 
		System.out.println("L("+SymPrinting.join(L.getUnknowns(),",")+")=\n    "+L.lhs);
		System.out.println("where data array is (X_i, Y_i), i=0..."+(data.length-1));
		
		NewtonOptimization.solve(L, lm.getInitialGuess(), 100, 1e-4, true);
		
		Eq L2 = lm.getEq();
		System.out.println("L("+SymPrinting.join(L.getUnknowns(),",")+")=\n    "+L2.lhs);
		NewtonOptimization.solve(L2, lm.getInitialGuess(), 100, 1e-4, false);
	}
	
	public static void main(String[] args) {
		example1();
		example2();
	}
}
Jacobian Matrix = 
\left[ {\begin{array}{c}
2*x\\
\end{array} } \right]
Iterativly sovle ... 
x=10.00000 
x=35.60000 
x=26.39551 
x=24.79064 
x=24.73869 

Output in Latex:

Lagrange=

where data array is (X_i, Y_i), i=0...6

Hessian=

Grad(L)=

Iterativly sovle ... 
y_0=0.00000 y_1=0.00000 y_2=0.00000 y_3=0.00000 y_4=0.00000 y_5=0.00000 y_6=0.00000 \lambda_0=0.00000 \lambda_1=0.00000 \lambda_2=0.00000 \lambda_3=0.00000 \lambda_4=0.00000 \lambda_5=0.00000 \lambda_6=0.00000 a=0.90000 b=0.20000 
y_0=0.01678 y_1=0.09612 y_2=0.16729 y_3=0.20243 y_4=0.25473 y_5=0.28945 y_6=0.30273 \lambda_0=0.06643 \lambda_1=0.06176 \lambda_2=-0.14658 \lambda_3=0.01955 \lambda_4=0.03634 \lambda_5=-0.04590 \lambda_6=0.05794 a=0.33266 b=0.26017 
y_0=0.01624 y_1=0.08735 y_2=0.15765 y_3=0.19518 y_4=0.25469 y_5=0.29667 y_6=0.31327 \lambda_0=0.06752 \lambda_1=0.07930 \lambda_2=-0.12729 \lambda_3=0.03404 \lambda_4=0.03642 \lambda_5=-0.06034 \lambda_6=0.03687 a=0.35178 b=0.46125 
y_0=0.02256 y_1=0.09240 y_2=0.15593 y_3=0.19116 y_4=0.25076 y_5=0.29644 y_6=0.31550 \lambda_0=0.05487 \lambda_1=0.06919 \lambda_2=-0.12387 \lambda_3=0.04207 \lambda_4=0.04428 \lambda_5=-0.05989 \lambda_6=0.03240 a=0.36223 b=0.55462 
y_0=0.02314 y_1=0.09356 y_2=0.15671 y_3=0.19159 y_4=0.25059 y_5=0.29598 y_6=0.31499 \lambda_0=0.05373 \lambda_1=0.06689 \lambda_2=-0.12542 \lambda_3=0.04123 \lambda_4=0.04463 \lambda_5=-0.05896 \lambda_6=0.03342 a=0.36185 b=0.55631 
package symjava.examples;	
 import static symjava.symbolic.Symbol.*;	
import symjava.matrix.*;	
import symjava.symbolic.*;	
 /**	
 * Example for PDE Constrained Parameters Optimization	
 *	
 */	
public class Example4 {	
	public static void main(String[] args) {	
		Func u =  new Func("u",  x,y,z);	
		Func u0 = new Func("u0", x,y,z);	
		Func q =  new Func("q",  x,y,z);	
		Func q0 = new Func("q0", x,y,z);	
		Func f =  new Func("f",  x,y,z);	
		Func lamd = new Func("\\lambda ", x,y,z);	
			
		Expr reg_term = (q-q0)*(q-q0)*0.5*0.1;	
 		Func L = new Func("L",(u-u0)*(u-u0)/2 + reg_term + q*Dot.apply(Grad.apply(u), Grad.apply(lamd)) - f*lamd);	
		System.out.println("Lagrange L(u, \\lambda, q) = \n"+L);	
			
		Func phi = new Func("\\phi ", x,y,z);	
		Func psi = new Func("\\psi ", x,y,z);	
		Func chi = new Func("\\chi ", x,y,z);	
		Expr[] xs =  new Expr[]{u,   lamd, q   };	
		Expr[] dxs = new Expr[]{phi, psi,  chi };	
		SymVector Lx = Grad.apply(L, xs, dxs);	
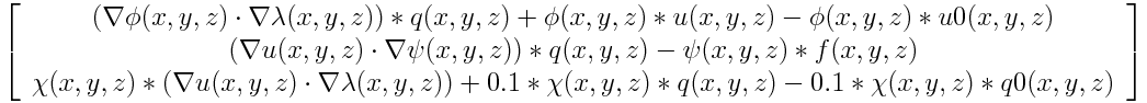
		System.out.println("\nGradient Lx = (Lu, Llamd, Lq) =");	
		System.out.println(Lx);	
			
		Func du = new Func("\\delta{u}", x,y,z);	
		Func dl = new Func("\\delta{\\lambda}", x,y,z);	
		Func dq = new Func("\\delta{q}", x,y,z);	
		Expr[] dxs2 = new Expr[] { du, dl, dq };	
		SymMatrix Lxx = new SymMatrix();	
		for(Expr Lxi : Lx) {	
			Lxx.add(Grad.apply(Lxi, xs, dxs2));	
		}	
		System.out.println("\nHessian Matrix =");	
		System.out.println(Lxx);	
	}	
}	

Output in Latex: Lagrange= Hessian= Grad(L)=

Example6: Finite Element Solver for Laplace Equation

About

A Java library for fast symbolic-numeric computation

Topics

Resources

License

Stars

Watchers

Forks

Packages

 
 
 

Contributors

Languages