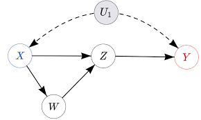
Causal ML Experimentation
With Argenta, I offer warehouse-native causal ML experimentation services that go beyond traditional A/B testing. Most experimentation tools stop at “did it work?” — Argenta answers for whom, why, and what to do next. Connecting directly to your existing data warehouse (Snowflake, BigQuery, or Redshift), it executes a fully auditable SQL pipeline to construct a clean experiment dataset, then applies causal machine learning methods — including Double Machine Learning via Causal Forest and CUPED variance reduction — to deliver heterogeneous treatment effects (HTE), per-user CATE scores, automatic subgroup discovery, and uplift-based targeting recommendations. Your data never leaves your warehouse, and results are written back to a schema you control.
Algorithmic trading

With a focus on algorithmic trading, I can assess the impact of different trading strategies and evaluate their effectiveness under evolving market conditions. I developed R and Python libraries that retrieve financial data from a variety of sources, leveraging both ecosystems to design powerful trading algorithms. By applying advanced machine learning methods for real-time stream data. This approach ensures data-driven insights for informed, adaptive decision-making. My trading capabilities employ state-of-the-art algorithms to predict market fluctuations, adapting to sudden changes and delivering accurate alerts for risk management.
Monitoring and Evaluation Services

The Monitoring and Evaluation (M&E) services offer a tailored approach to environmental analysis. With years of research and collaboration with diverse stakeholders such as NGOs, governmental bodies, universities, and program evaluators, I can provide comprehensive M&E solutions. My expertise lies in continuous monitoring of environmental projects and policies. I use advanced machine learning algorithms designed for real-time stream data processing, enabling the evaluation of ongoing initiatives. From assessing the impact of new cultivation approaches to the effectiveness of air pollution control programs, my M&E services deliver valuable insights for informed decision-making.
Risk and Environmental analyses

I conduct in-depth risk and environmental analyses, utilizing advanced modeling techniques. Through the application of probabilistic approaches, my goal is to pinpoint potential hazards and quantify their probabilities. This process enables to unveil intricate relationships among complex variables, fostering a comprehensive understanding of the risk landscape.
Forecasting Services

My forecasting services provide a cutting-edge solution for predicting environmental events. Whether it’s anticipating floods or other critical occurrences, we utilize state-of-the-art machine learning algorithms to continuously analyze data from weather stations, sensors, and other sources. The adaptability of my forecasting approach allows to adjust to changes over time, ensuring accurate and timely alerts. By forecasting multiple future points with each data update, my services provide a dynamic and reliable solution to environmental challenges. I specialize in creating forecasting models that are not only accurate but also adaptable to evolving data relationships.
Adaptive and Environmentally Friendly Learning Systems
My expertise extends to the development of adaptive and environmentally friendly learning systems. I focus on creating systems that are portable, lightweight, and have a minimal environmental footprint. By integrating seamlessly with various data sources, including APIs, databases, and sensors, my systems are versatile and applicable to a range of scenarios. Whether it’s periodic data collection, like an Air Pollution Survey, or continuous monitoring of environmental changes, my learning systems excel in extracting valuable insights. My commitment to sustainability is reflected in the low resource consumption and serverless architecture of our systems, contributing to environmentally conscious practices in the field of machine learning.